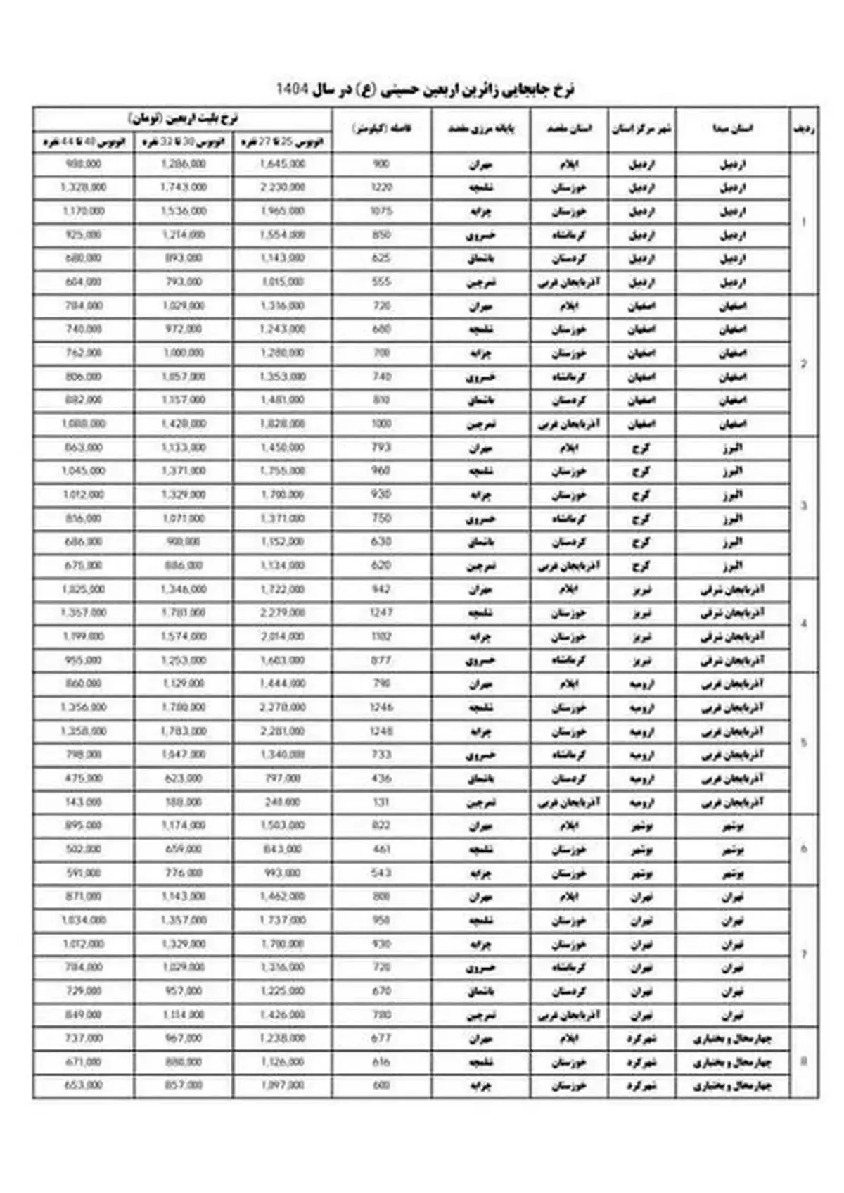
لیست قیمت بلیت های اتوبوس اربعین 1404؛ بلیت تهران تا مرز مهران چنده؟

طبق اعلام سازمان حج و زیارت؛ ثبت نام از زائران حسینی برای پیادهروی اربعین از چهارشنبه 25 تیر آغاز خواهد شد با آغاز پیش فروش بلیت اتوبوسهای ویژه اربعین از ۲۵ تیر، اتحادیه تعاونیهای مسافربری نرخ رسمی مسیرهای منتهی به مرزهای خروجی به عراق را اعلام کرد.
احمدرضا عامری، مدیرعامل اتحادیه تعاونیهای مسافربری از آغاز پیش فروش بلیت اتوبوسهای ویژه اربعین از ۲۵ مردادماه (چهارشنبه) خبر داد.
به گزارش ایسنا، آن طور که گفته میشود نرخ بلیت اتوبوس بسته به نوع اتوبوس یعنی ۲۵ تا ۲۷ نفره، ۳۰ تا ۳۲ نفره و ۴۰ تا ۴۴ نفره متفاوت است. برای مثال قیمت اتوبوس ۲۵ تا ۲۷ نفره در مسیرهای تهران - مهران یک میلیون و ۴۶۲ هزار تومان، تهران - شلمچه یک میلیون و ۷۳۷ هزار تومان، تهران - چزابه یک میلیون و ۷۰۰ هزار تومان، تهران - خسروی یک میلیون و ۳۱۶ هزار تومان، تهران - باشماق یک میلیون و ۲۲۵ هزار تومان و تهران - تمرچین یک میلیون و ۴۲۶ هزار تومان تعیین شده است.
- تهران-مهران یک میلیون و ۴۶۲ هزار تومان
- تهران-شلمچه یک میلیون و ۷۳۷ هزار
- تهران-چزابه یک میلیون و ۷۰۰ هزار
- تهران-خسروی یک میلیون و ۳۱۶ هزار
- تهران-باشماق یک میلیون و ۲۲۵ هزار
- تهران-تمرچین یک میلیون و ۴۲۶ هزار
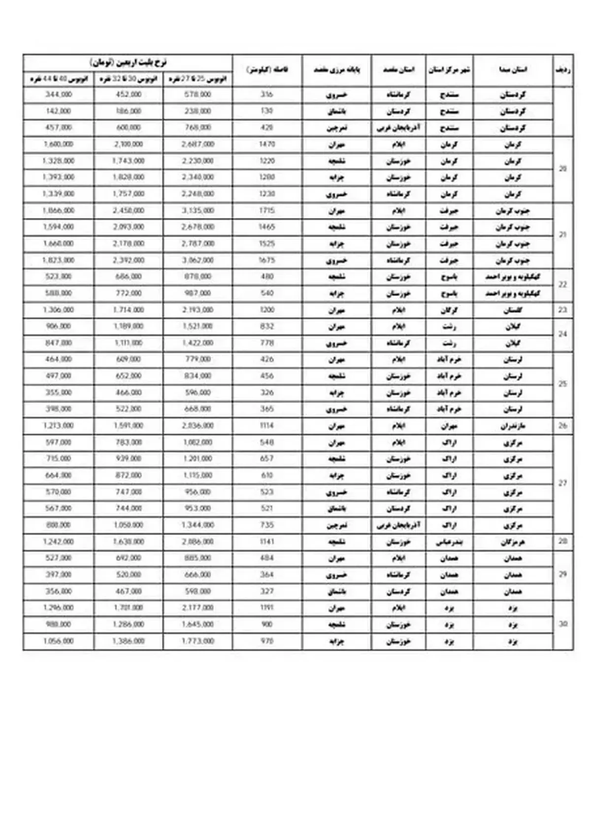
نرخ بلیت اتوبوس از سایر نقاط کشور به مرزهای خروجی به سمت عراق نیز در ادامه آمده است:




